Статус товара: под заказ
Срок поставки: от 7 дней
Запросите у менеджера точный расчет сроков и стоимости доставки.
Описание товара:
Исполнение вентиляторов по назначению и материалам:
- - общего назначения;
- - коррозионностойкие из нержавеющей стали;
- - теплостойкие из углеродистой стали (до +200°С).
Сертификаты соответствия:
№ РОСС RU.МГ01.В03480
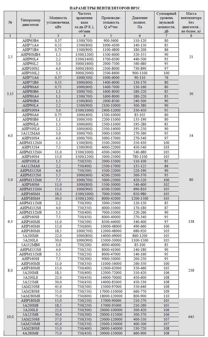
Вентиляторы радиальные двухстороннего всасывания низкого и среднего давления для обычных сред
предназначены для перемещения воздуха и других газовых смесей, агрессивность которых по отношению к
углеродистым сталям, обыкновенного качества, не выше агрессивности воздуха с температурой до + 80 0С, не содержащих пыли и других твердых примесей в количестве более 100 мг/м3, а также липких веществ и волокнистых материалов. Вентиляторы применяются в стационарных системах вентиляции и воздушного отопления производственных, общественных и жилых зданий, а также для других санитарно-технических и производственных целей.





| Основные | |
|---|---|
| Производитель | Тепловенткомплект |
| Страна производитель | Россия |
| Пользовательские характеристики | |
| Аналоги | ВЦ 6-28, ВВД |
| Всасывание | Двухстороннее |
| Давление | Низкое и среднее |
| Количество лопаток | 12х2(13х2), 32х2(34х2) |
| Корпус | Спиральный поворотный |
| Направление вращения | Правое и левое |
- Бағасы: 396 225 ₸



